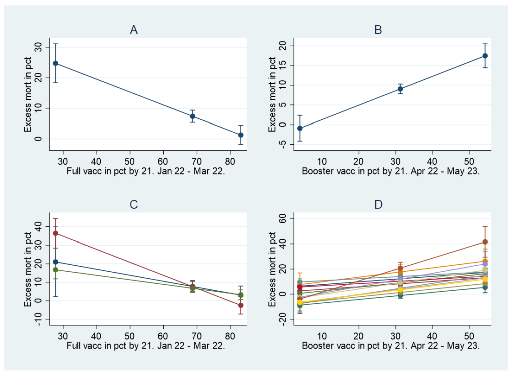
Kortversjon på norsk oversatt fra preprint på engelsk som inneholder referanser og detaljert informasjon om data og analyser. Sammendrag. Denne studien oppdaterer tidligere forskning som viste at totaldødeligheten gjennom 2022 i 31 europeiske land økte over tid dess høyere covid-19-vaksinasjonsgraden var i 2021. Den oppdaterte versjonen viser at ett prosentpoengs økning i fullvaksinasjonsgrad i 2021 […]

Logg inn for å lese videre (abonnenter).

Støtt Norges viktigste uavhengige medium!

Bli abonnent

Pluss-artikler blir åpnet 48 timer etter publisering. Artikler som er eldre enn to år er forbeholdt abonnenter.